Zur Startseite
Statik, Festigkeitslehre, Kinematik/Kinetik, 4. Auflage

Beispiel auf Seiten 296/297

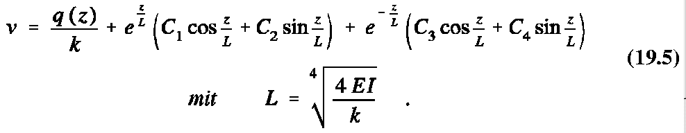
Die allgemeine Lösung der Differenzialgleichung der Biegelinie des elastisch gebetteten Trägers findet man auf Seite 295 (sie gilt für dieses Beispiel mit q(z) = q0):

Die Lösung muss den 4 Randbedingungen

angepasst werden. Dies führt (vgl. Seite 296) auf das Gleichungssystem:

Nach Lösung dieses Gleichungssystems sind die Integrationskonstanten und damit die Biegelinie v(z) bekannt. Der Biegemomentenverlauf ergibt sich dann nach  Mb = - EI v’’ (z).

Lösung mit MATLAB
Symbolische Lösung des
   Gleichungssystems von Seite 296
   mit Maple

Homepage

www.D@nkert.de

D

nkert.de