Zur Startseite
Statik, Festigkeitslehre, Kinematik/Kinetik, 4. Auflage

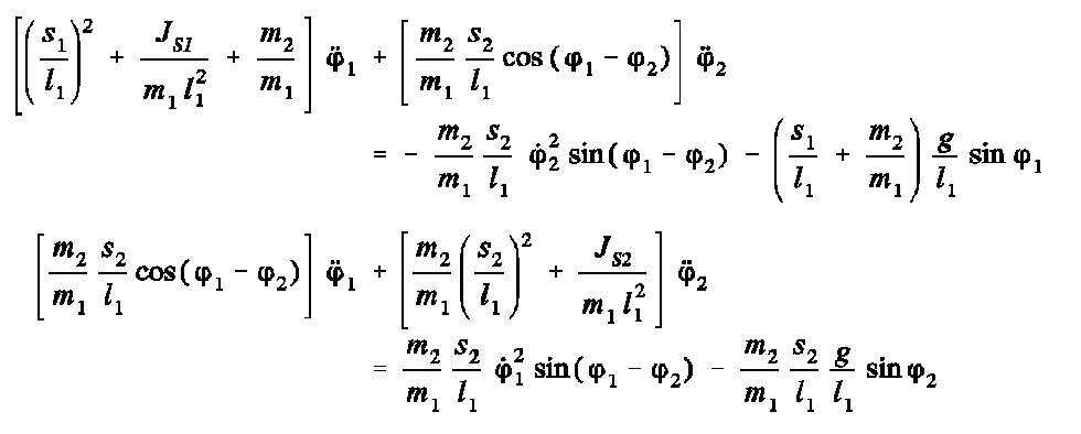
Anhang B: Doppelpendel (Erweiterung des Beispiels 1 auf Seiten 634/635)

Lösung mit     
SIMULINK
Lösung mit MATLAB
doppboard0103
Doppelpendel, Lösung mit CAMMPUS

Animation
mit
MATLAB

Homepage

www.D@nkert.de

D

nkert.de