![]() |
![]() |
![]() |
![]() |
![]() |
![]() |
![]() |
![]() |
![]() |
![]() |
![]() |
![]() |
![]() |
![]() |
![]() |
![]() |
![]() |
![]() |
![]() |
![]() |
![]() |
![]() |
![]() |
![]() |
|||||
![]() |
||||||||||||||||||||||||||||
![]() |
||||||||||||||||||||||||||||
![]() |
||||||||||||||||||||||||||||
|
||||||||||||||||||||||||||||
Das Beispiel 1 auf Seite 625 greift das (nachfolgend noch einmal angegebene) Beispiel 3 von Seite 621 noch einmal auf, um die Stabilität der Gleichgewichtslagen zu untersuchen: |
||||||||||||||||||||||||||||
![]() |
||||||||||||||||||||||||||||
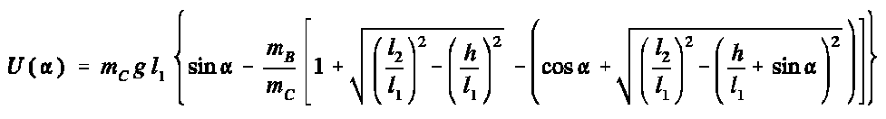
Auf Seite 625 wird gezeigt, dass die potentielle Energie des Systems bei (willkürlicher) Festlegung der im nebenstehenden Bild gestrichelt gezeichneten Lage als Zustand mit der potentiellen Energie Null folgendermaßen aufgeschrieben werden kann: |
||||||||||||||||||||||||||||
Die Extremwerte dieser Funktion kennzeichnen die Gleichgewichtslagen des Systems, wobei Minima stabile Gleichgewichtslagen und Maxima instabile Gleichgewichtslagen anzeigen (ausgewertet werden muss nur die geschweifte Klammer). Benötigt wir also ein Programm, das die Minima und Maxima einer solchen Funktion in einem vozugebenden Intervall (hier: α = 0° ... 360°) ermitteln kann. |
||||||||||||||||||||||||||||
![]() |
||||||||||||||||||||||||||||
![]() |
||||||||||||||||||||||||||||
![]() |
||||||||||||||||||||||||||||
![]() |
||||||||||||||||||||||||||||
![]() |
||||||||||||||||||||||||||||
![]() |
||||||||||||||||||||||||||||
|