Zur Startseite
Statik, Festigkeitslehre, Kinematik/Kinetik, 4. Auflage

Freie gedämpfte Schwingungen (Seiten 589 bis 592)

Die Differenzialgleichung der freien gedämpften Schwingung

DglFuS02

(Seite 589) kann zu

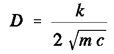
umgeformt werden. Darin ist (vgl. Seite 590)

das sogenannte LEHRsche Dämpfungsmaß, und ω ist die Eigenkreisfrequenz der ungedämpften Schwingung.

Die Differenzialgleichung ist geschlossen lösbar, die allgemeine Lösung wird als Formel (31.17) auf Seite 590 angegeben. Hier soll die Unterstützung und graphische Auswertung der Lösung durch Software gezeigt werden. Programme der symbolischen Mathematik können durchaus auch die allgemeine Lösung ermitteln, bei vorgegebenen Parametern spricht allerdings auch nichts gegen eine numerische Lösung.

Student Thomas Dulz
(HAW Hamburg) demonstriert
die Lösung mit dem TI
Lösung mit
   Maple

Homepage

www.D@nkert.de

D

nkert.de