Zur Startseite
Statik, Festigkeitslehre, Kinematik/Kinetik, 4. Auflage

Beispiel 2 auf Seiten 501 und 502

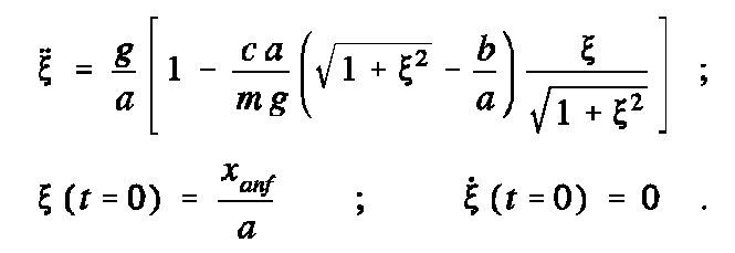
Auf der Seite 501 wird das Anfangswertproblem hergeleitet:

Lösung mit CAMMPUS
Lösung mit MATLAB

Student Eugen Lass (Prof. Dr. Thomas Frischgesell, HAW Hamburg) hat eine Lösung mit MATLAB erarbeitet.

Animation
            der Bewegung
            mit MATLAB

Homepage

www.D@nkert.de

D

nkert.de