Zur Startseite
Statik, Festigkeitslehre, Kinematik/Kinetik, 4. Auflage

Beispiel auf Seite 50

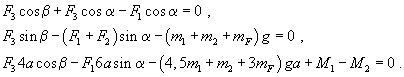
AufgS50KAuf Seite 50 werden für das nebenstehend skizzierte System zur Berechnung der Kräfte in den drei Lagerstäben folgende Gleichgewichtsbedingungen formuliert:

AufgS5002

Die Aufgabenstellung gibt folgende Werte vor:

 α = 45° ;   β 20° ;   m2 = 2 m1 ;   mF = 4 m1 ;   M1 = m1 g a ;   M2 = 3 m1 g a .

Seite50MapleIcon

Homepage

www.D@nkert.de

D

nkert.de