![]() |
![]() |
![]() |
![]() |
![]() |
![]() |
![]() |
![]() |
![]() |
![]() |
![]() |
![]() |
![]() |
![]() |
![]() |
![]() |
![]() |
![]() |
![]() |
![]() |
![]() |
![]() |
![]() |
![]() |
||||||
![]() |
|||||||||||||||||||||||||||||
![]() |
|||||||||||||||||||||||||||||
![]() |
|||||||||||||||||||||||||||||
|
|||||||||||||||||||||||||||||
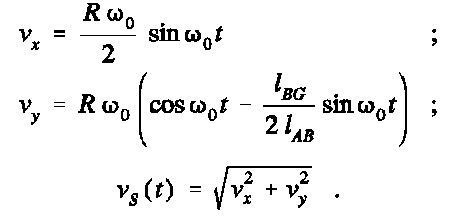
Die nebenstehende Animation zeigt die exzentrische Schubkurbel mit den Abmessungsverhältnissen, die auf Seite 483 angegeben sind. Eine AVI-Datei (343 kB) dieser Bewegungssimulation ist zum Download verfügbar. Die Ermittlung der Geschwindigkeits-Zeit-Gesetze für den (roten) Gleitstein in der Vertikalführung und des Mittelpunktes der Verbindungsstange von Kurbel und Gleitstein wird ausführlich auf den Seiten 481 und 482 beschrieben, Ergebnisse:
|
|||||||||||||||||||||||||||||
![]() |
|||||||||||||||||||||||||||||
![]() |
|||||||||||||||||||||||||||||
Auf Seite 483 findet man die Funktionen
die die Bahnkurve des Mittelpunktes der Verbindungsstange beschreiben. Für die graphische Auswertung wird dringend ein Programm empfohlen, das mit Funktionssätzen arbeiten kann (jede Funktion darf auf Ergebnisse vorher definierter Funktionen zurückgreifen). Noch besser ist es, wenn das Programm auch (symbolisch oder numerisch) differenzieren kann. Dann kann man die Ableitungen der der Wegkoordinaten xS und yS an Stelle der Geschwindigkeitskomponenten vx und vy (oder für deren Kontrolle) verwenden. |
|||||||||||||||||||||||||||||
![]() |
|||||||||||||||||||||||||||||
![]() |
|||||||||||||||||||||||||||||
![]() |
|||||||||||||||||||||||||||||
![]() |
|||||||||||||||||||||||||||||
![]() |
|||||||||||||||||||||||||||||
|