Zur Startseite
Statik, Festigkeitslehre, Kinematik/Kinetik, 4. Auflage

Beispiel auf Seiten 37/38

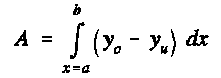
Auf Seite 37 wird gezeigt, dass man mit der Sinuskurve als Funtion   yo und der Geradengleichung als Funktion  yu die Koordinaten des Flächenschwerpunkts nach
mit
berechnen kann.

Allgemeine Bemerkungen zur Lösung der Integrale findet man unter dem Link für die Seite 37 .

Lösung mit Maple
Lösung mit   
TI-92 Plus

Homepage

www.D@nkert.de

D

nkert.de