Zur Startseite
Statik, Festigkeitslehre, Kinematik/Kinetik, 4. Auflage

Torsionträgheitsmoment für dünnwandigen Kreisbogenquerschnitt auf der Seite 360

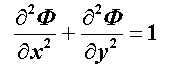
Für einfach zusammenhängende Querschnittsflächen (Flächen ohne Ausschnitte) muss zunächst die Poissonsche Differenzialgleichung

unter Beachtung der Randbedingung

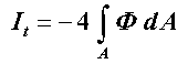
gelöst werden. Dann kann das Torsionsträgheitsmoment aus

errechnet werden.

Lösung
            mit
            Matlab-Femset

Homepage

www.D@nkert.de

D

nkert.de