Aufgabe 33-9b, Matlab www.
   DankertDankert.
de

Aufgabe 33-9, Lösung der Aufgabenstellung b

Aufg33-9KKoordDer skizzierte Biegeträger mit konstanter Biegesteifigkeit ist am linken Rand in einem Festlager gelagert und durch eine Drehfeder gefesselt.

Gegeben:
E = 210000 N/mm2 ; I
0 = 20 cm4 ; l = 1 m c T = 108 Nmm ;
q
1 = 1 N/mm ; F = 500 N .

Das Problem soll nach dem RITZschen Verfahren mit einem mindestens dreigliedrigen Ansatz mit Potenzfunktionen gelöst werden.

  1. Durchbiegung und Biegemomentenverlauf sind graphisch darzustellen.
  2. Die Werte für Durchbiegung, Biegewinkel und Biegemoment an den beiden Trägerrändern sind zu berechnen und mit den exakten Werten zu vergleichen.

Für den Vergleich mit den exakten Werten können einzelne Werte z. B. nach dem Satz von Castigliano oder mit dem Einheitslastverfahren auf der Basis der Arbeitsgleichung berechnet werden. Effektiver ist aber die Nutzung eines FEM-Programms, das für diesen Fall auch die (im Sinne der klassischen Biegetheorie) exakte Lösung liefert. Diese Lösung findet man hier.

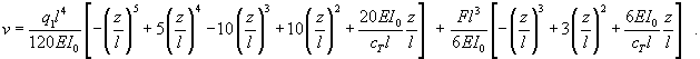
Aber es ist durchaus auch noch möglich, für diese Aufgabe die Biegeverformung v(z) durch Integration der Differenzialgleichung der Biegelinie zu ermitteln. Nach etwas mühsamer Rechnung erhält man:

Aufgabe33_9Biegelinie02

Der Biegemomentenverlauf ist proportional zur 2. Ableitung der Biegelinie:

Aufgabe33_9Mb

Diese beiden Funktionen werden verwendet, um den Vergleich mit der Näherungslösung nach dem Ritzschen Verfahren durchzuführen. Die Lösung mit Matlab wird mit einer Modifikation des Scripts, das für die Aufgabenstellung a verwendet wurde, realisiert. Darin wird nur die graphische Ausgabe der Biegelinie und des Momentenverlaufs erweitert um die Darstellung der oben zu sehenden Funktionen der exakten Lösung. Dieser Bereich des Scripts sieht dann so aus:

Aufgabe33_9b

Aufgabe33_9bGraphik3Das nebenstehend zu sehende Ergebnis der Rechnung (mit 3 Ansatzfunktionen) zeigt, dass die Verschiebung schon mit wenigen Ansatzfunktionen durch das Ritzsche Verfahren ausgezeichnet genähert wird (die Näherungslösung und die exakte Lösung überdecken sich fast komplett).

Bei den Biegemomenten ist die Übereinstimmung nicht so gut (vgl. auch den Zahlenwert für das Biegemoment am rechten Rand bei der Aufgabenstellung a, dort darf eigentlich kein Biegemoment sein). Das liegt daran, dass das Biegemoment proportional zur 2. Ableitung der Verschiebung ist und bei einem Verschiebungsansatz mit maximal 3. Potenz in den Funktionen kann das Biegemoment nur durch eine Gerade genähert werden. Man sieht in der Graphik sehr schön, wie diese Gerade versucht, die exakte Lösung (Polynom 3. Grades) bestmöglich zu nähern.

Bei Verwendung von mehr Ansatzfunktionen wird die Näherung auch des Biegemomentenverlaufs sehr schnell besser. Das für die Aufgabenstellung a entwickelte Script ist vorbereitet für die Rechnung mit maximal 5 Ansatzfunktionen. In der Zeile 26 muss nur der Wert für m auf 4 bzw. 5 erhöht werden, um mit 4 bzw. 5 Ansatzfunktionen zu rechnen:

                   Aufgabe33_9bAnsFunk

 Nachfolgend sieht man die Graphiken für die Rechnung mit 4 Ansatzfunktionen (linkes Bild) bzw. 5 Ansatzfunktionen (rechtes Bild). Während man bei 4 Ansatzfunktionen gerade noch erkennen kann, dass in den Fenstern jeweils 2 Kurven dargestellt werden, überdecken sich die Kurven bei 5 Ansatzfunktionen total (man vergleiche auch die Zusammenstellung der Zahlenwerte an markanten Punkten auf der Seite mit der Aufgabenstellung).

Aufgabe33_9bGraphik4  Aufgabe33_9bGraphik5

Das für die Berechnungen verwendete Matlab-Script ist als Aufgabe33_9b.m zum Download verfügbar.

Zur Übersicht der Aufgaben zur Kinematik und Kinetik und den Prinzipien der Mechanik

www.D@nkert.de

D

nkert.de

 

TM1-Aufgaben TM2-Aufgaben
TM3-Aufgaben TM2-Aufgaben