Aufg. 32-11, Ritz www.
   DankertDankert.
de

Aufgabe 32-11, Koordinate z für das Aufschreiben der Ansatzfunktionen

Die Ansatzfunktionen müssen die drei geometrischen Randbedingungen erfüllen (l = l1 + l2 + l3), die mit der oben eingezeichneten Koordinate z folgendermaßen formuliert werden können:

Geometrische Randbedingungen

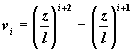
Das einfachste Polynom, das diese Bedingungen erfüllt, ist das Polynom 3. Grades

Einfachste Polynomansatzfunktion ist ein Polynom 3. Grades

Man überzeugt sich leicht, dass auch die höheren Polynomfunktionen

Zulässige Polynomansatzfunktionen beliebigen Grades für den Träger der Aufgabe 32-11

die geometrischen Randbedingungen erfüllen.

Das nachfolgend gelistete Matlab-Script arbeitet mit maximal 5 Ansatzfunktionen dieser Art (i = 1 ... 5). Die Integrale, die bei der Berechnung der Matrixelemente des Allgemeinen Matrizeneigenwertproblems entstehen, werden numerisch mit der Simpsonschen Regel gelöst. Das Matrizeneigenwertproblem wird mit der Matlab-Function eig gelöst.

Ein entsprechendes Musterscript findet man bei Aufgabe 32-6, das in dem PDF-Skript " Biegeschwingungen gerader Träger" ausführlich beschrieben wird.

Matlab-Script Aufg32_11_Ritz.m

Ergebnisse der Berechnung mit dem Matlib-Script Aufg32_11_Ritz.mIm nebenstehend zu sehenden Command Window findet man die Ergebnisse (die drei kleinsten Eigenfrequenzen).

In den nachfolgend zu sehenden Graphik-Fenstern sind links die 5 Ansatzfunktionen dargestellt (man erkennt, dass sie die geometrischen Randbedingungen erfüllen), rechts sieht man die zu den drei berechneten Eigenfrequenzen gehörenden Eigenschwingungsformen.

Anmerkung: Im Gegensatz zum Musterscript der Aufgabe 32-6 wurden die Ansatzfunktionen nicht als Subplot gemeinsam mit den Eigenschwingungsformen im gleichen Graphik-Fenster dargestellt, weil bei der dann sehr kleinen Darstellung die Nullstellen kaum erkennbar wären. Ein neues Graphik-Fenster wird mit dem Matlab-Statement figure (siehe Zeile 121) geöffnet. Damit nicht auf diese Weise bei jeder Abarbeitung des Scripts ein zusätzliches Graphik-Fenster geöffnet wird, wurde am Anfang (Zeile 4) das Statement close eingefügt.

Ansatzfunktionen für die Berechnung des Trägers der Aufgabe 32-11 nach Ritz     Eigenschwingungsformen für die ersten drei Eigenfrequenzen

Das oben gelistete MATLAB-Script steht als Aufg32_11_Ritz.m zum Download zur Verfügung.

Zur Übersicht der Aufgaben zur Kinematik und Kinetik und den Prinzipien der Mechanik

www.D@nkert.de

D

nkert.de

 

TM1-Aufgaben TM2-Aufgaben
TM3-Aufgaben TM2-Aufgaben