Zur Startseite
Statik, Festigkeitslehre, Kinematik/Kinetik, 4. Auflage

Aufgabe 26.2 auf Seite 455

  1. Aus geometrischen Beziehungen kann man die Lage des Punktes A unter Beachtung der Tatsache, dass die auf den beiden Rädern abgewälzten Bögen gleich sein müssen (in der Skizze fett eingezeichnet), im x-y-Koordinatensystem beschreiben (Anhang A, Seite 668):


  2. Bedingung erfüllt für r/R = 1/m für alle ganzzahligen m (vgl. Anhang A, Seite 668).
     
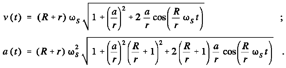
  3. Die analytische Lösung (vgl. Anhang A, Seite 668)


    sollte mit einem geeigneten Programm durch symbolisches oder numerisches Differenzieren überprüft werden.
  4. Hierfür wird ein Programm benötigt, das die durch die oben angegebenen Funktionen x(t) und y(t) in Parameterdarstellung gegebene Bahnkurve darstellen kann und möglichst unter ausschließlicher Verwendung dieser beiden Funktionen die Bogenlänge für zwei komplette Stegumläufe nach der Formel (26.11) auf Seite 442 berechnen kann.
Lösung mit
CAMMPUS

Für den Spezialfall  a/r = 1 (Punkt A auf dem Umfang des rollenden Kreises) hat Prof. Dr. Bernd Baumann (HAW Hamburg) mit dem Programm “Maple” eine Animation erstellt, die das Entstehen dieser sogenannten “Spitzen Epizykloide” (nachfolgendes Bild links) beim Abrollen eines Kreises auf einem anderen Kreis zeigt.

Vom selben Autor stammt die Animation, die das Entstehen einer “Spitzen Hypozykloide” beim Abrollen eines Kreises in einem anderen Kreis zeigt (rechtes Bild).

Homepage

www.D@nkert.de

D

nkert.de