Zur Startseite
Statik, Festigkeitslehre, Kinematik/Kinetik, 4. Auflage

Darstellung kinematischer Diagramme (Seite 439)

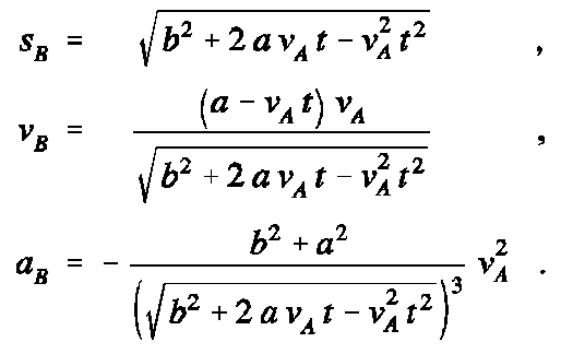
Auf der Seite 439 sind die kinematischen Diagramme für die Bewegung des Gleitsteins B des Beispiels 4 von Seite 437 dargestellt. Die dargestellten Funktionen wurden auf Seite 437 hergeleitet:

Außerdem wird auf Seite 439 die Empfehlung gegeben: Für das Zeichnen der kinematischen Diagramme sollte man ein Programm verwenden, bei dem man nur die Funktion sB(t) eingeben muss, weil vB(t) und aB(t) durch symbolisches oder numerisches Differenzieren zu ermitteln sind.

Lösung mit  
CAMMPUS

Homepage

www.D@nkert.de

D

nkert.de