Zur Startseite
Statik, Festigkeitslehre, Kinematik/Kinetik, 4. Auflage

Lösung der Differenzialgleichung für den elastisch gebetteten Träger mit konstanter Biegesteifigkeit (Seite 295)

Auf der Seite 295 findet man als Gleichung (19.5) die

Lösung der Differenzialgleichung des elastisch gebetteten Trägers mit konstanter Biegesteifigkeit und konstanter Bettungszahl, belastet mit einer Linienlast, die durch eine Potenzfunktion maximal 3. Grades beschrieben wird:

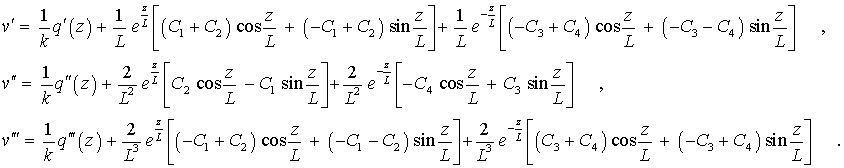
Für die Auswertung von Rand- und Übergangsbedingungen und das Aufschreiben der Beziehungen für Biegemoment und Querkraft werden die ersten drei Ableitungen dieser Funktion benötigt:

 

Homepage

www.D@nkert.de

D

nkert.de