Zur Startseite
Statik, Festigkeitslehre, Kinematik/Kinetik, 4. Auflage

Beispiel 3 auf den Seiten 249 bis 252, Berechnung der maximalen Durchbiegungen

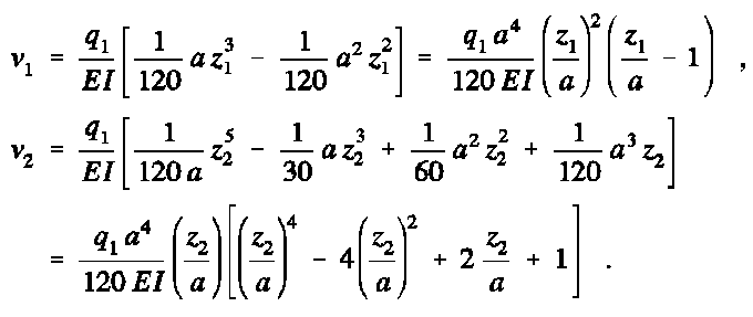
Die Antwort auf die Fragestellung a) wird auf Seite 250 gegeben. Für die in der Skizze zur Aufgabenstellung (oben) eingezeichneten Koordinaten ergibt sich:

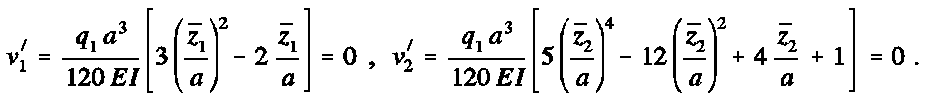
Aus diesen Gleichungen können die maximalen Durchbiegungen in den beiden Bereichen berechnet werden. Dafür werden auf Seite 251 die Bestimmungsgleichungen für den jeweiligen Ort der maximalen Durchbiegung (Ableitungen der oben angegebenen Funktionen gleich Null) angegeben:

Es müssen also die Nullstellen dieser beiden Funktionen (es genügt, die eckigen Klammern auszuwerten) bestimmt werden. Mit den Ergebnissen können dann nach den oben angegebenen Funktionen der Biegelinien die maximalen Durchbiegungen bestimmt werden.

Lösung mit Maple

Homepage

www.D@nkert.de

D

nkert.de