Zur Startseite
Statik, Festigkeitslehre, Kinematik/Kinetik, 4. Auflage

Beispiel 1 (“Seillinie”) auf den Seiten 145 bis 147

Auf den Seiten 145 bis 147 wird gezeigt, dass man bei konsequent dimensionsloser Rechnung mit den auf die Gesamtlänge des Seils L bezogenen Koordinaten und auf das Gesamtgewicht des Seils qL bezogenen Kräften (Horizontalzug und Seilkraft) nur zwei (statt vier) Problemparameter vorgeben muss:

Damit ist folgender Formelsatz auszuwerten:

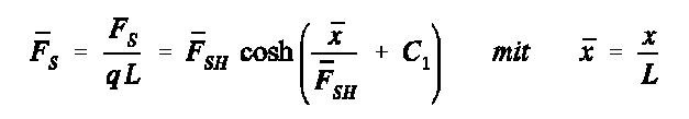
Auf Seite 147 wird gezeigt, dass mit den so berechneten drei Werten die dimensionslose Seilkraft nach

und daraus die Seillinie

ermittelt werden können.

Auf Seite 147 werden die Ergebnisse für die drei in der Tabelle rechts zu sehenden Parameterkombinationen angegeben.

Benötigt wird also ein Programm, dass mit diesen Parametern die oben angegebene erste Gleichung (numerisch) lösen kann, mit dem ermittelten Wert die beiden anderen Konstanten berechnet und dann die beiden Funktionen (Seilkraft und Seillinie) graphisch darstellt.

Lösung mit
Maple

Homepage

www.D@nkert.de

D

nkert.de