Zur Startseite
Statik, Festigkeitslehre, Kinematik/Kinetik, 4. Auflage

Beispiel (“Gleichgewicht bei einer weichen Feder”) auf den Seiten 135 bis 137

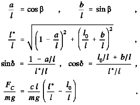
Auf den Seiten 135 und 136 wird gezeigt, dass die gesuchten (durch den Winkel β beschriebenen) Gleichgewichtslagen die Nullstellen der Funktion

sind, wobei die in der Funktion vorkommenden Ausdrücke aus folgendem Formelsatz berechnet werden können:

Die numerische Auswertung ist möglich, wenn für die Problemparameter m, l, c und l0 Zahlenwerte gegeben sind. Der Formelsatz zeigt, dass man mit nur zwei Parametern

auskommt. Eine Rechnung soll mit den Werten  (c l) / (m g) = 1  und l0 / l = 1 durchgeführt werden.

Lösung mit
MATLAB
Lösung mit
Maple

Homepage

www.D@nkert.de

D

nkert.de