|
 Aufgabe: Für das skizzierte System (links) sind die Absenkung des Kraftangriffspunktes und die Horizontalverschiebung des Punktes C zu berechnen. Es sind ausschließlich die durch die Biegemomente hervorgerufenen Verformungen zu berücksichtigen.
Gegeben: F, a, EI = konstant (für alle Bereiche)
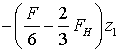
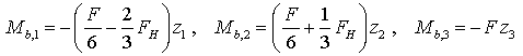
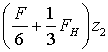
Weil am Punkt C keine Kraft wirkt, wird dort eine Hilfskraft FH angebracht, die zunächst in die Lagerreaktionen und in die Biegemomentenverläufe mit eingeht. Im Bild rechts sieht man die Belastung einschließlich der Hilfskraft und die daraus resultierenden Lagerreaktionen (aus Gleichgewichtsbedingungen berechnet). Außerdem sind die (beliebig zu wählenden) Koordinaten angegeben, für die die Biegemomentenverläufe formuliert werden sollen. Damit können die Funktionen für die Biegemomente z. B. in der Form
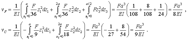
aufgeschrieben werden. Die Absenkung des Angriffspunktes der Kraft F ergibt sich nach dem Satz von Castigliano aus der partiellen Ableitung der gesamten Formänderungsarbeit nach F. Es ist zweckmäßig, in der mit der Formel für die Formänderungsenergie infolge der Biegemomente aufgeschriebenen Beziehung
die partiellen Ableitungen in die Integrale hineinzunehmen und auf die Quadrate der Biegemomente anzuwenden, so dass (unter Beachtung, dass EI über alle Bereiche konstant ist) folgende Beziehung entsteht:
Für die Berechnung der Verschiebung des Punktes C gilt eine entsprechende Beziehung, in der die partielle Ableitung nach F durch die partielle Ableitung nach FH ersetzt werden muss. Neben den Biegemomentenverläufen werden also auch deren partielle Ableitungen nach F und nach FH benötigt:
Die Hilfskraft darf nach der Bildung der partiellen Ableitungen Null gesetzt werden. Man erhält:

|