|
 Aufgabe: Für das skizzierte System (links) ist die Absenkung des Kraftangriffspunktes zu berechnen. Es sind ausschließlich die durch die Biegemomente hervorgerufenen Verformungen zu berücksichtigen.
Gegeben: F, a, EI = konstant (für alle Bereiche)
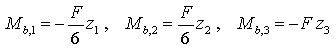
Rechts sind die (aus Gleichgewichtsbedingungen am Gesamtsystem leicht zu ermittelnden) Lagerreaktionen eingezeichnet, außerdem die (beliebig zu wählenden) Koordinaten, für die die Biegemomentenverläufe formuliert werden sollen. Weil die Biegemomente in die Formänderungsenergie quadratisch eingehen, kommt es auf eine spezielle Vorzeichenregel dafür nicht an. Mit den skizzierten Koordinaten können die Funktionen für die Biegemomente z. B. in der Form
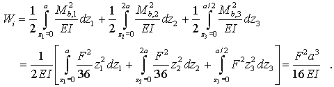
aufgeschrieben werden. Damit berechnet sich die im verformten elastischen System gespeicherte Formänderungsenergie zu:
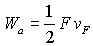
Die Arbeit, die die Kraft F auf dem Verformungsweg vF leistet (linearer Anstieg von 0 bis zum Endwert F ⇒ Arbeit = 0,5 * Endwert der Kraft * Weg) kann in der Form
aufgeschrieben werden. Gleichsetzen von Wi und Wa ergibt:

|