Aufg. 32-9, analytisch www.
   DankertDankert.
de

Im Skript “Biegeschwingungen gerader Träger” wird gezeigt, dass mit den oben eingezeichneten Koordinaten die Biegeverformung in der Form

mit

aufgeschrieben werden kann. Hierin enthält der Parameter

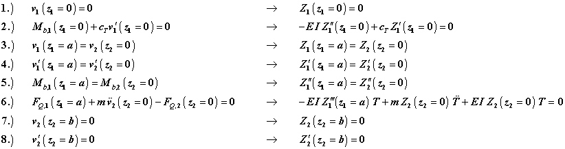
die gesuchte Eigenkreisfrequenz ω. Als Bezugslänge wurde (willkürlich) a gewählt. Die in der allgemeinen Lösung enthaltenen Konstanten C1 ... C8 müssen den folgenden 8 Rand- und Übergangsbedingungen genügen:

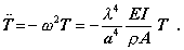
Vor der Aufstellung des Gleichungssystems für die Konstanten C1 ... C8 muss die sechste Bedingung (Kraftgleichgewicht an der Masse m, nebenstehende Skizze) noch bearbeitet werden: Im Skript “Biegeschwingungen gerader Träger” wird gezeigt, dass für die Zeitfunktion

gilt. Mit der oben angegebenen Beziehung zwischen ω und λ wird daraus:

Wenn dies in die sechste Bedingung eingesetzt wird, kürzt sich die Zeitfunktion T heraus, und es verbleibt:

Mit dieser und den 7 anderen Rand- und Übergangsbedingungen kann nun das Gleichungssystem für die 8 Integrationskonstanten formuliert werden:

Das homogene Gleichungssystem hat nur dann nichttriviale Lösungen, wenn die Koeffizientendeterminate verschwindet. Aus dieser Bedingung können die (unendlich vielen) Werte für λ berechnet werden (Eigenwerte), aus denen sich dann die Eigenkreisfrequenzen bzw. Eigenfrequenzen berechnen lassen. Für diese Eigenwerte existieren nichttriviale Lösungen (nicht alle Ci sind gleich 0), die sich jedoch nur bis auf einen willkürlichen Faktor bestimmen lassen.

Das nachfolgende MATLAB-Script realisiert diese Berechnungen mit folgender Strategie:

  • Die Koeffizientenmatrix des homogenen Gleichungssystems wird als Funktion von λ aufgefasst, für die in einem bestimmten Bereich eine vorgegebene Anzahl von Nullstellen gesucht werden. Aus ihnen werden die Eigenfrequenzen berechnet und in das Command Window ausgegeben.
     
  • Für alle berechneten Nullstellen (Eigenwerte) λi werden die zugehörigen Eigenfunktionen bestimmt. Das oben angegebene homogene Gleichungssystem hat für die berechneten λi eine singuläre Koeffizientenmatrix und damit auch nichttriviale Lösungen, die allerdings nicht eindeutig sind. Für die Berechnung der nichttrivialen Lösung kann die Matlab-Function null verwendet werden, die eigentlich für die Berechnung des so genannten "Nullraums einer Matrix" vorgesehen ist. Der Nullraum einer Matrix wird durch einen Satz orthonormierter Vektoren bestimmt, die bei Linksmultiplikation mit dieser Matrix jeweils den Nullvektor ergeben. Die Anzahl solcher Vektoren entspricht dem Defekt der singulären Matrix. In diesem Fall mit einer Matrix mit dem Defekt 1 wird also ein solcher Vektor abgeliefert, der eine nichttriviale Lösung (Konstanten C1,i ... C8,i) des homogenen Gleichungssystems ist.
  • Mit den Konstanten C1,i ... C8,i können dann die Funktionen Z1,i und Z2,i ausgewertet werden. Sie werden als Eigenschwingungsformen graphisch dargestellt.

function Aufg32_9    % Biegeschwinger (Aufgabe 32-9)

EI   = 5000 ;
rhoA = 4.8 ;
cT   = 60000 ;
a    = 0.6 ;
b    = 0.8 ;
m    =   4 ;

lamanf =   0 ;  % Nach Nullstellen (Eigenwerten) zu ...
lamend =   20 ;  % ... untersuchender Bereich
nevmax =   3 ;  % Maximale Anzahl zu suchender Eigenwerte

global mdrAa bda cTadEI
mdrAa  = m/(rhoA*a) ;
bda    = b/a       ;
cTadEI = cT*a/EI   ;

delta = (lamend-lamanf)/1000 ; % Schrittweite für das "Scannen" des Bereichs
f1   = ewg (lamanf) ;
iev  = 1 ;

for lam = lamanf+delta : delta : lamend
  f2 = ewg (lam) ;
  if (f1*f2 < 0 | f2 == 0)                       % Vorzeichenwechsel? Dann ...
   lam0(iev) = fzero (@ewg , [lam-delta lam]) ; % ... Nullstelle suchen
   iev = iev + 1 ;
   if iev > nevmax break ; end                  % nevmax Nullstellen gefunden?
  end
  f1 = f2 ;
end

EigenFrequenzen = (sqrt(EI/rhoA) * lam0.^2/a^2) / (2*pi)

dz   = (a+b)/1400      ;
z    =   0 : dz : a+b  ;
z1da = ( 0 : dz : a)/a ;
z2da = (dz : dz : b)/a ;

for i = 1:iev-1
   lami = lam0(i) ;
   c = null (MatrixA(lami)) ;
   Z1 = c(1)*cos(lami*z1da)+c(2)*sin(lami*z1da)+c(3)*cosh(lami*z1da)+c(4)*sinh(lami*z1da) ;
   Z2 = c(5)*cos(lami*z2da)+c(6)*sin(lami*z2da)+c(7)*cosh(lami*z2da)+c(8)*sinh(lami*z2da) ;
   subplot (iev-1,1,i) ; plot (z , [Z1 Z2]) , grid on , ...       % Schwingungsformen ...
             title (strcat(num2str(i),'. Eigenschwingungsform')) ; % ... darstellen
end

function f = ewg (lam)
f = det(MatrixA(lam)) ;

function A = MatrixA (lam)
global mdrAa bda cTadEI
A = [  1        0        1        0          0          0              0           0        ;
       lam     cTadEI    -lam     cTadEI        0          0              0           0        ;
     cos(lam)  sin(lam) cosh(lam) sinh(lam)      -1          0            -1           0        ;
   -sin(lam)  cos(lam) sinh(lam) cosh(lam)      0          -1              0           -1        ;
   -cos(lam) -sin(lam) cosh(lam) sinh(lam)      1          0            -1           0        ;
     sin(lam) -cos(lam) sinh(lam) cosh(lam)  mdrAa*lam      1          mdrAa*lam       -1        ;
       0        0        0        0      cos(bda*lam) sin(bda*lam) cosh(bda*lam) sinh(bda*lam) ;
       0        0        0        0    -sin(bda*lam) cos(bda*lam) sinh(bda*lam) cosh(bda*lam) ] ;

Mit dem Script werden die drei kleinsten Einfrequenzen berechnet und in das Command Window ausgegeben. Die zugehörigen Eigenschwingungsformen werden in ein separates Graphik-Fenster gezeichnet:

    

Das oben gelistete MATLAB-Script steht als Aufg32_9.m zum Download zur Verfügung.

Zur Übersicht der Aufgaben zur Kinematik und Kinetik und den Prinzipien der Mechanik

www.D@nkert.de

D

nkert.de

 

TM1-Aufgaben TM2-Aufgaben
TM3-Aufgaben TM2-Aufgaben