Aufg. 32-6, MATLAB www.
   DankertDankert.
de

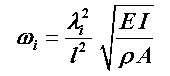
Im Skript “Biegeschwingungen gerader Träger” wird diese Aufgabe als Beispiel ausführlich behandelt. Es wird gezeigt, dass sich die Eigenkreisfrequenzen nach der Formel

mit den  λi-Werten berechnen lassen, die sich als Lösungen der Eigenwertgleichung

ergeben. Die bis auf einen beliebigen Faktor bestimmbaren Eigenschwingungsformen lassen sich dann nach

berechnen. Das nachfolgende MATLAB-Script realisiert diese Berechnung:

Aufg32_6Matlab

Die Ergebnisse findet man in einem Graphik-Fenster und im Command Window:

 

Diese Berechnung erfordert eine umfangreiche Handrechnung. In dem Skript “Biegeschwingungen gerader Träger ” wird auch gezeigt, dass man durchaus bereits die Nullstellenberechnung bei der Determinante der Koeffizientenmatrix des homogenen Gleichungssystems

starten kann (die oben angegebene Eigenwertgleichung ergab sich aus der Entwicklung dieser Determinante). Dann kann man auch die Schwingungsformen auf einfachere Art ermitteln (hierfür wird auf die Darstellung in dem genannten Skript verwiesen). Im oben gelisteten MATLAB-Script ergeben sich Änderungen ab Zeile 29. Diese Variante kommt mit wesentlich weniger (aufwändiger und damit fehleranfälliger) Handrechnung aus:

Aufg32_6MatlabDef

Die beiden oben gelisteten MATLAB-Scripts stehen als aufg32_6.m und aufg32_6det.m zum Download zur Verfügung.

Zur Übersicht der Aufgaben zur Kinematik und Kinetik und den Prinzipien der Mechanik

www.D@nkert.de

D

nkert.de

 

TM1-Aufgaben TM2-Aufgaben
TM3-Aufgaben TM2-Aufgaben